地址:廣州市南沙區(qū)大崗鎮(zhèn)智新一路8號聯東U谷廣州南沙國際企業(yè)港7棟5樓
產品咨詢:13392693259
耗材電話:18998328368
售后服務:020-87684117
傳 真:020-87684846
Email:info@gdana.com
網址:http://m.9meifly.com/
2022.11.18
油菜籽是我國主要油料作物和蜜源作物之一,其籽粒是制浸油脂原料主要品種之一。栽培遍及全國,分為冬油菜和春油菜兩種。其種植面積占全國油料作物總面積的40%以上,產量占全國油料總產量的30%以上。油菜籽的化學成分,一般含氮3.9%-5.2%,蛋白質24.6%-32.4%,纖維素5.7%-9.6%,灰分4.1%-5.3%,油脂37.5%-46.3%。測定油菜籽的脂肪含量,對評定其可食部品質和營養(yǎng)價值具有重要意義。其含油量的高低直接體現了其經濟價值。本實驗通過格丹納的FT-660全自動索氏提取脂肪儀對油菜籽測定其脂肪含量。

纖維素濾筒
樣品濾筒
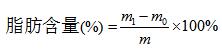
(4)計算結果:抽提完成后,烘干溶劑杯至恒重,記為m1。
