巧克力,它屬于一種高脂肪的食物,無論是黑巧克力牛奶巧克力還是白巧克力,他們所含的卡路里含量都是差不多的,可可富含豐富的脂肪。日常生活中盡量不要吃太多的巧克力,它是一種高熱量的食物,長時間吃有可能會導致身體肥胖,也可能會導致高血糖,高血壓或者是引起胃腸功能紊亂。現依據《GB 5009.6-2016食品安全國家標準食品中脂肪的測定》對巧克力中的脂肪含量進行測定。
實驗部分
實驗儀器和耗材:
FT-660全自動索氏脂肪測定儀(格丹納)
研磨儀
萬分一電子分析天平
鼓風干燥箱
干燥器
100mL量筒
纖維素濾筒
樣品濾筒
脫脂棉
試劑:
石油醚( 30~60°C)
實驗步驟:
1.儀器準備
請參照說明書,清洗溶劑杯,干燥并稱重記為m0。
2.樣品制備
精確稱樣品2.0g (記為m) , 放入纖維素濾筒內,并覆蓋上一層脫脂棉。

3.儀器參數設置
將濾紙筒置于儀器萃取室內,向溶劑杯中加入100mL石油醚,儀器參數設置如下:
抽提完成后,烘干溶劑杯至恒重,記為m1。
4.實驗結果:
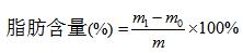
增重法計算脂肪含量:
其中, m1-溶劑杯和脂肪質量, g
m0-溶劑杯質量, g
m-試樣質量, g
結論
此次測試的巧克力中的脂肪含為37.58% ,且重復性符合《GB 5009.6-2016食品安全國家標準食品中脂肪的測定》中在重復性條件下獲得的兩次獨立測定結果的絕對差值不得超過算術平均值的10%的要求。FT-660全自動索氏脂肪測定儀是用索氏提取技術研制而成的用于實驗室測定脂肪含量的一款設備,具有設計合理、性能穩定、準確度高、操作省力、省時,各項指標及性能都達同類產品的要求。該儀器是食品、油脂、飼料、土壤等行業進行索氏提取設備。